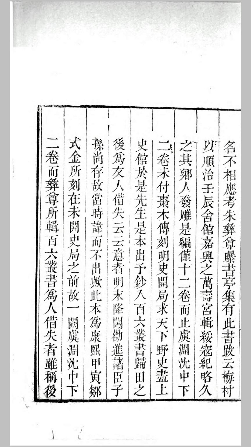
绥寇纪略12卷附补遗3卷.清.吴伟业撰.清嘉庆9年昭文张氏照旷阁刊本

Jul 04,2023 977 18

参见 http://www.hongyeshan.com/post/7831.html

纪略

纪略

纪略

纪略

绥寇纪略12卷附补遗3卷.清.吴伟业撰.清嘉庆9年昭文张氏照旷阁刊本

绥寇纪略12卷附补遗3卷.清.吴伟业撰.清嘉庆9年昭文张氏照旷阁刊本 提取码:F588

相关信息:

  • 时间: 2023-06-23 12:18
  • 语言: ZH
  • 编号: 99158
  • 文件类型: PDF/RAR

相关搜索:

下载链接:

Jul 04,2023 2023-06-23 09:54