主页
国学古籍
塔罗占星
风水择日
手相面相
堪舆阳宅
地理古籍
Others
All
八字命理
六壬六爻
紫微斗数
奇门遁甲
易经占卜
梅花易数
符咒法术
三元天星
数字能量
其他
主页
国学古籍
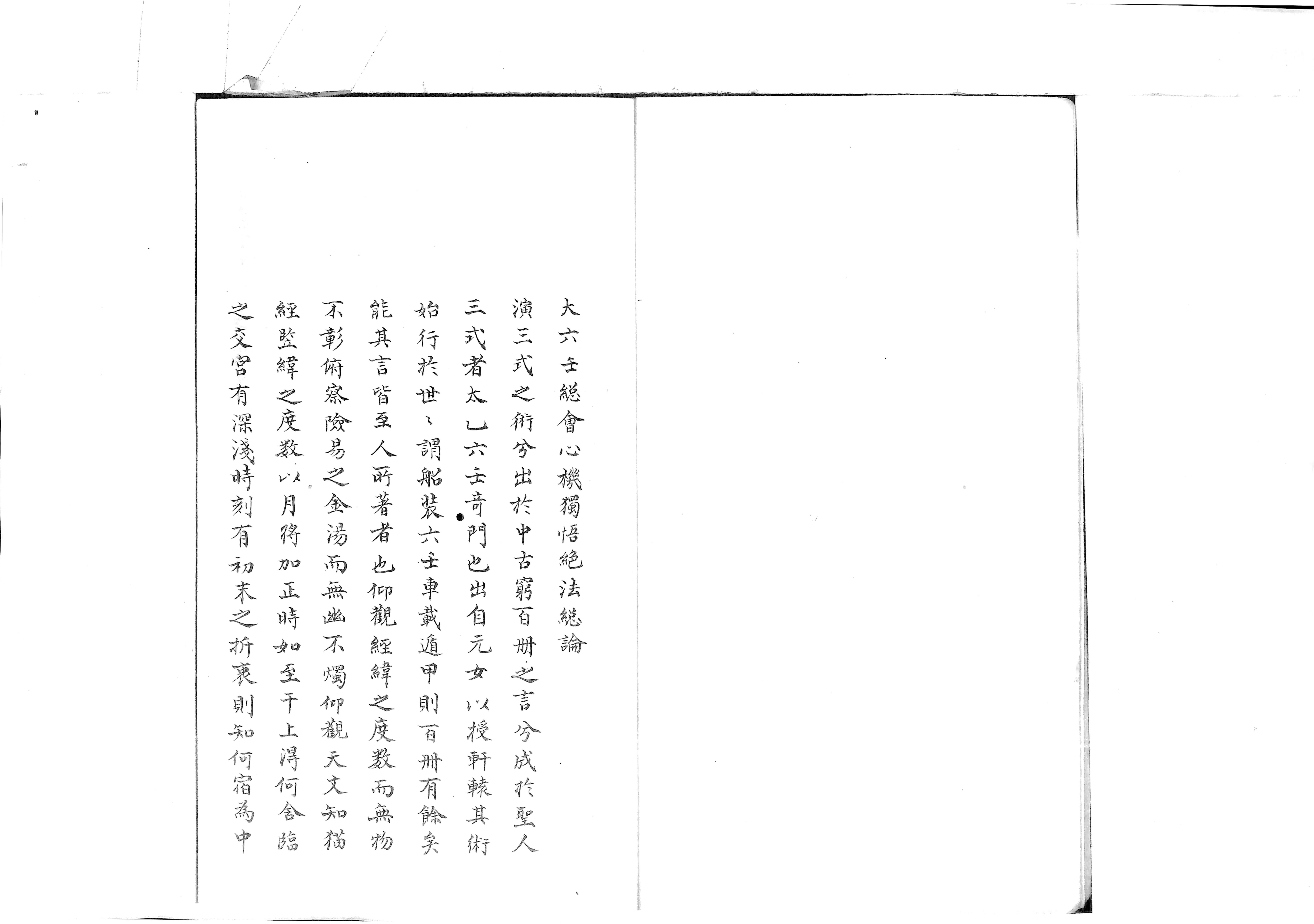
大六壬总汇心机独悟绝法总论
Jul 04,2023
333
18
壬学手抄珍本。117页。
此书为图片合集,117张1m左右jpg图片
相关信息:
时间: 2023-06-23 07:56
语言: ZH
编号: 74250
文件类型: PDF/RAR
相关搜索:
古籍供求
下载链接:
¥
18
立即支付
下载说明:采用百度网盘、Microsoft OneDrive和Google Drive随机一种分享链接提供,需要您了解各种网盘的基础操作!如果连接无效,无法下载请联系在线客服 或右下角联系网站管理员进行补发,如需邮件发送,请下单后联系客服。
上一篇
江湖分韵酬世全书 六桂堂藏板
下一篇
东洲賸稿
白鹤神数民国石印本
Jul 04,2023
2023-06-23 07:41
元龟会解断易神书 上 中 下 三卷
Jul 04,2023
2023-06-23 08:17
奇门旨归卅八卷
Jul 04,2023
2023-06-23 07:55
董德彰水法秘诀
Jul 04,2023
2023-06-23 07:48
汉魏遗书钞(易学,五经)
Jul 04,2023
2023-06-23 09:04
师传风水秘旨抄
Jul 04,2023
2023-06-23 08:46
精刻编集阳宅真传秘诀
Jul 04,2023
2023-06-23 07:57
清隐山房丛书(术数,兵家)
Jul 04,2023
2023-06-23 09:04
订单列表
帖子名称
订单详情
价格
¥18
总价
¥18
付款方式
Usdt
Paypal
易支付-微信
易支付-支付宝