主页
国学古籍
塔罗占星
风水择日
手相面相
堪舆阳宅
地理古籍
Others
All
八字命理
六壬六爻
紫微斗数
奇门遁甲
易经占卜
梅花易数
符咒法术
三元天星
数字能量
其他
主页
国学古籍
命理正宗手抄本
Jul 04,2023
162
18
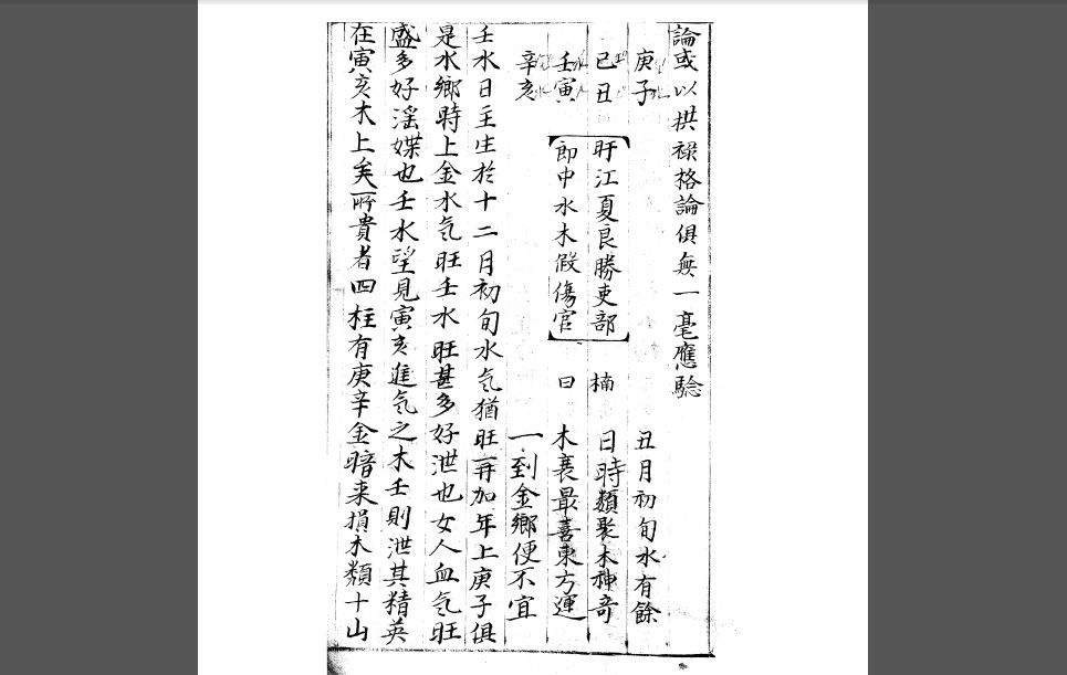
黑白PDF文件,59页单面,10m左右。此书疑为残卷。
相关信息:
时间: 2023-06-23 06:17
语言: ZH
编号: 58827
文件类型: PDF/RAR
相关搜索:
古籍
子部
下载链接:
¥
18
立即支付
下载说明:采用百度网盘、Microsoft OneDrive和Google Drive随机一种分享链接提供,需要您了解各种网盘的基础操作!如果连接无效,无法下载请联系在线客服 或右下角联系网站管理员进行补发,如需邮件发送,请下单后联系客服。
上一篇
秘传紫微(紫微斗数方书上下两卷)
下一篇
天医拯治符秘
禅宗无门关
Jul 04,2023
2023-06-23 04:43
唐 韩幹 照夜白 纸本30.8×33大都会博物馆
Jul 04,2023
2023-06-23 04:05
历代画史汇传72卷.清.彭蕴璨编.民国8年上海锦章图书局石印本
Jul 04,2023
2023-06-23 06:45
卜筮指南大全
Jul 04,2023
2023-06-23 05:29
挨星秘窍全卷
Jul 04,2023
2023-06-23 07:21
人形符咒秘传
Jul 04,2023
2023-06-23 06:26
阳宅秘旨
Jul 04,2023
2023-06-23 07:32
刘伯温青田占象
Jul 04,2023
2023-06-23 05:22
订单列表
帖子名称
订单详情
价格
¥18
总价
¥18
付款方式
Usdt
Paypal
易支付-微信
易支付-支付宝