主页
国学古籍
塔罗占星
风水择日
手相面相
堪舆阳宅
地理古籍
Others
All
八字命理
六壬六爻
紫微斗数
奇门遁甲
易经占卜
梅花易数
符咒法术
三元天星
数字能量
其他
主页
国学古籍
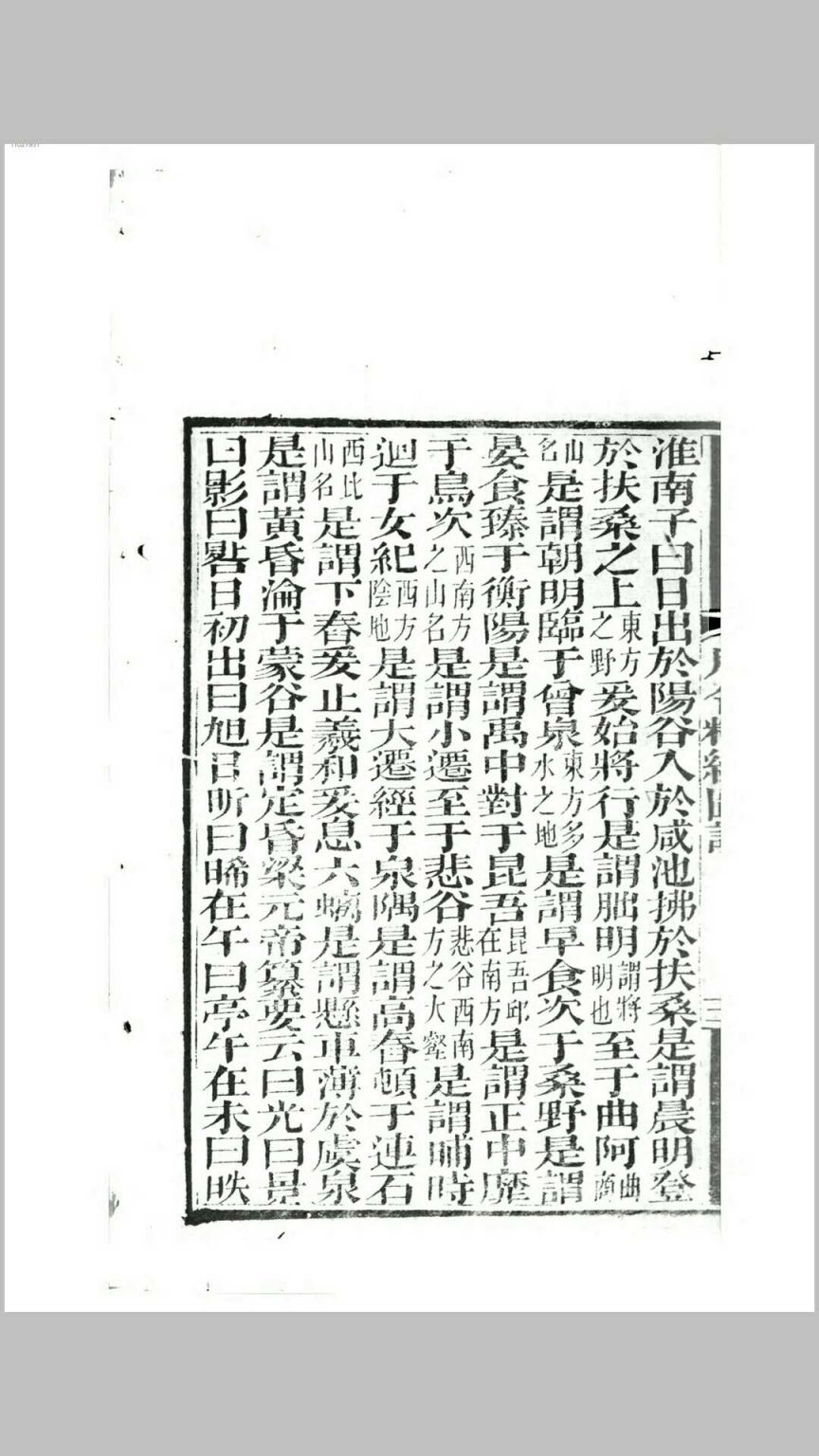
月令粹编.清.秦嘉谟编.清嘉庆17年江都秦氏琳琅仙馆刊本
Jul 04,2023
399
18
历法类书籍。
相关信息:
时间: 2023-06-22 19:27
语言: ZH
编号: 54110
文件类型: PDF/RAR
相关搜索:
古籍
子部
下载链接:
¥
18
立即支付
下载说明:采用百度网盘、Microsoft OneDrive和Google Drive随机一种分享链接提供,需要您了解各种网盘的基础操作!如果连接无效,无法下载请联系在线客服 或右下角联系网站管理员进行补发,如需邮件发送,请下单后联系客服。
上一篇
集宋四家词联.林葆恒辑.民国时期蓝印精刻本
下一篇
异方便净土传灯归元镜.二卷.明.智达颂.德日阅录.清乾隆四十二年杭州报国寺释惟贤刊本
山谷琴趣外篇.3卷.宋.黄庭坚撰.南宋刻本
Jul 04,2023
2023-06-22 18:50
燕川集14卷.清.范泰恒撰.范照藜重编.清嘉庆14年愿起庐刊本
Jul 04,2023
2023-06-22 19:48
古今长者录.八卷.附二种.明.丁明登辑.黄文炤补辑.清.彭士望评阅.清乾隆八年宁都曾氏西园校刊藏版
Jul 04,2023
2023-06-22 19:14
宋 苏汉臣 开泰图
Jul 04,2023
2023-06-22 19:18
明清山水扇面
Jul 04,2023
2023-06-22 19:01
明 王渊 莲鹡鸰图
Jul 04,2023
2023-06-22 18:57
内外科
Jul 04,2023
2023-06-22 19:06
苗氏说文四种.清.苗夔撰.清道光21年咸丰元年寿阳祁寯藻汉专亭刊本
Jul 04,2023
2023-06-22 19:23
订单列表
帖子名称
订单详情
价格
¥18
总价
¥18
付款方式
Usdt
Paypal
易支付-微信
易支付-支付宝