太平御览.宋.李昉等纂.清嘉庆间扬州刊本

Jul 04,2023 203 18

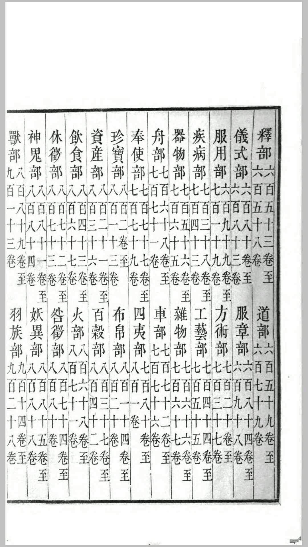
《太平御览》是宋代著名的类书,为北宋李昉、李穆、徐铉等学者奉敕编纂,始于太平兴国二年(977)三月,成书于太平兴国八年(983)十月。 《太平御览》采以群书类集之,凡分五十五部五百五十门而编为千卷,所以初名为《太平总类》;书成之后,宋太宗日览三卷,一岁而读周,所以又更名为《太平御览》。 全书以天、地、人、事、物为序,分成五十五部,可谓包罗古今万象。书中共引用古书一千多种,保存了大量宋以前的文献资料,但其中十之七八已经亡佚,更使本书显得弥足珍贵,是中国传统文化的宝贵遗产。

相关信息:

  • 时间: 2023-06-22 19:29
  • 语言: ZH
  • 编号: 39012
  • 文件类型: PDF/RAR

相关搜索:

下载链接:

Jul 04,2023 2023-06-22 18:50
Jul 04,2023 2023-06-22 19:02