开方通释

Jul 04,2023 491 18

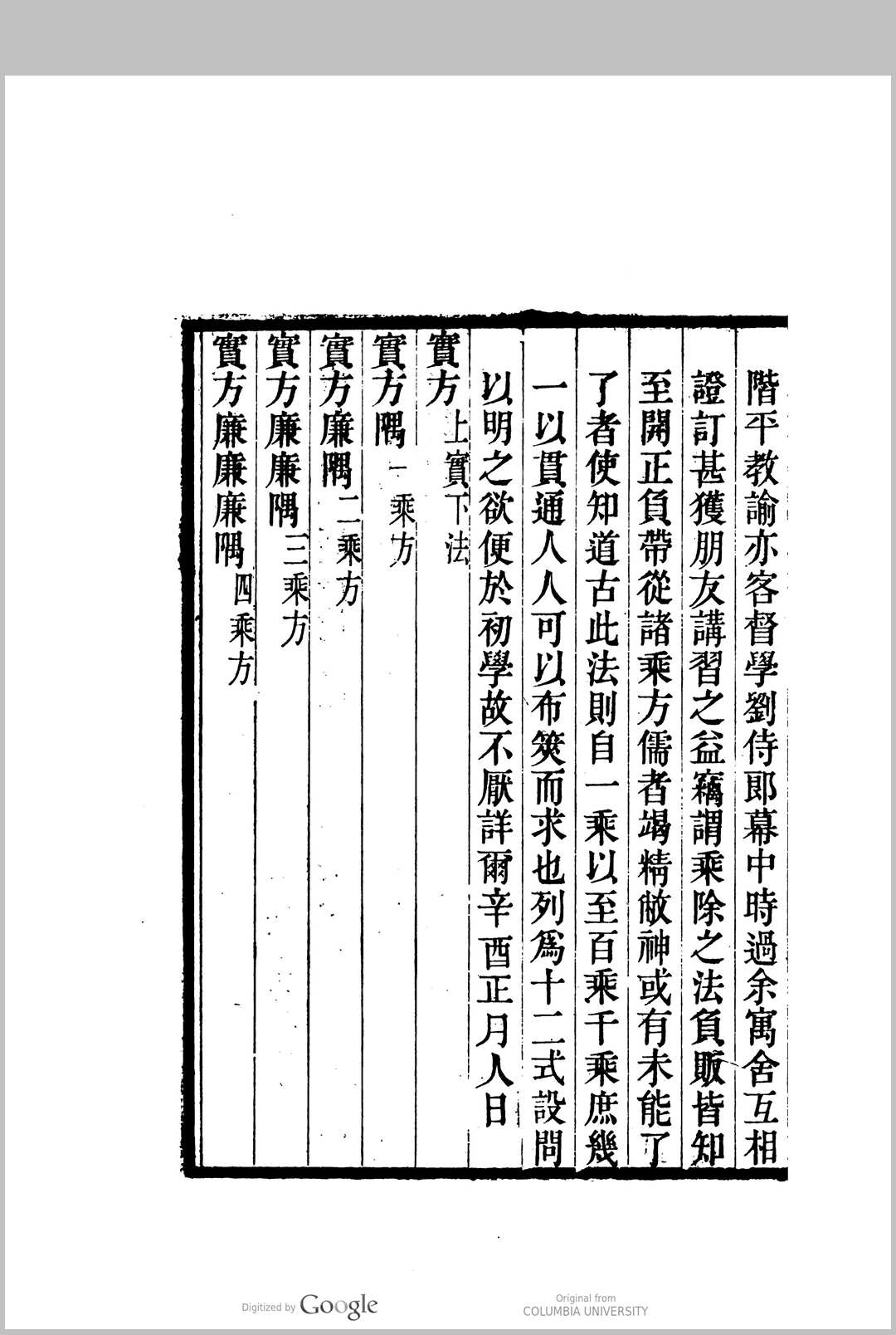
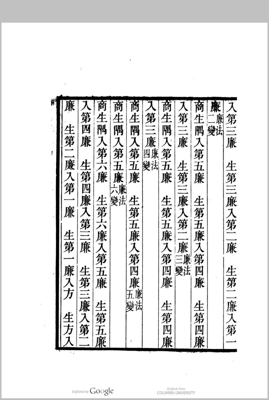
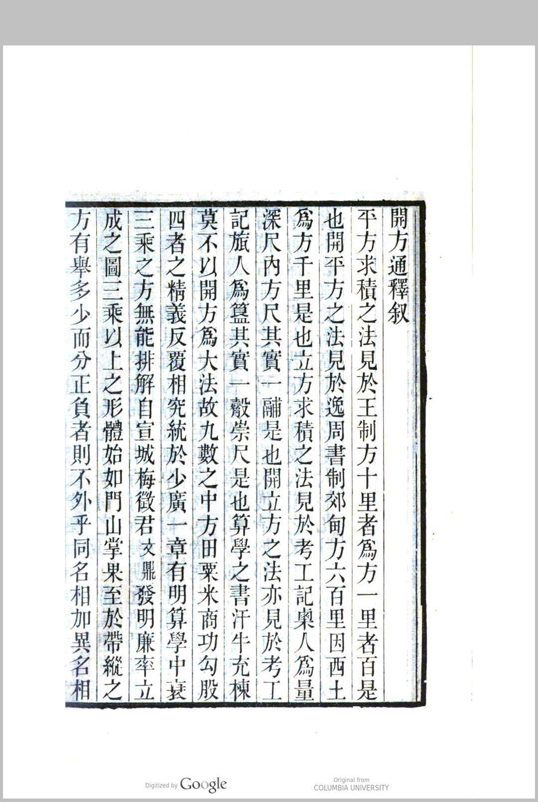
开方通释,清代阐述宋元数学中的增乘方法的著作一卷,清焦循撰.前半部分论“十二式”,每一式都列出一至十次方程并以题例及算草加以说明,是全书的核心,其中前八式实际上是八类不同形式的高次方程,后四式则是增乘开方法的几个关键步骤;后半部分主要以实例说明李冶、秦九韶“开方”方法的异同,并特别阐明了“投胎”、“换骨”、“开连枝同体术”等方法.此书有光绪六年(1880)德化李氏刊本,后又被李盛铎收入《木犀轩丛书》中。

相关信息:

  • 时间: 2023-06-22 09:17
  • 语言: ZH
  • 编号: 90306
  • 文件类型: PDF/RAR

相关搜索:

下载链接:

Jul 04,2023 2023-06-22 08:52
Jul 04,2023 2023-06-22 08:31
Jul 04,2023 2023-06-22 08:30
Jul 04,2023 2023-06-22 08:18
Jul 04,2023 2023-06-22 09:13