主页
国学古籍
塔罗占星
风水择日
手相面相
堪舆阳宅
地理古籍
Others
All
八字命理
六壬六爻
紫微斗数
奇门遁甲
易经占卜
梅花易数
符咒法术
三元天星
数字能量
其他
主页
国学古籍
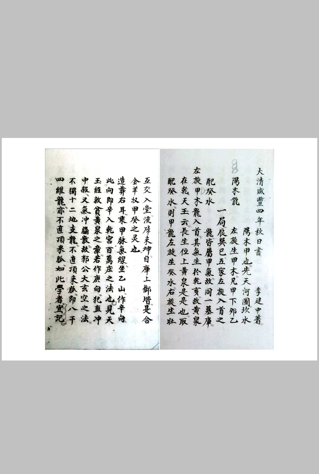
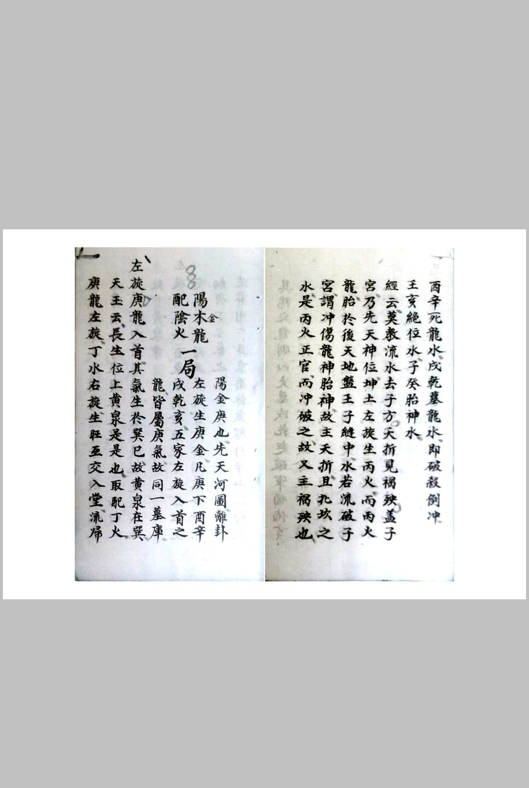
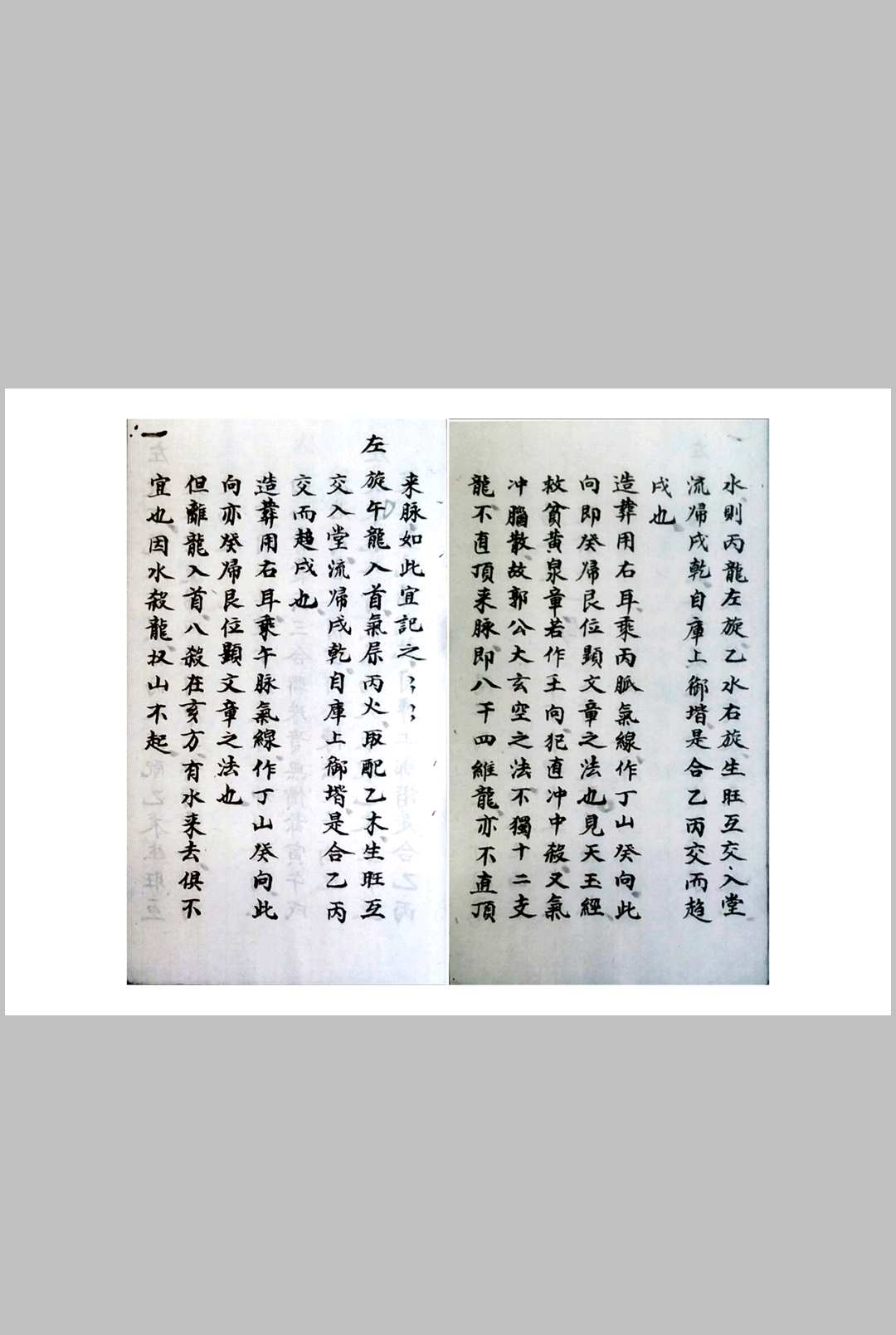
阴阳四十八龙定局
Jul 04,2023
678
18
术数,风水类书籍 167m 50页 手抄本
相关信息:
时间: 2023-06-22 01:11
语言: ZH
编号: 43423
文件类型: PDF/RAR
相关搜索:
古籍
子部
下载链接:
¥
18
立即支付
下载说明:采用百度网盘、Microsoft OneDrive和Google Drive随机一种分享链接提供,需要您了解各种网盘的基础操作!如果连接无效,无法下载请联系在线客服 或右下角联系网站管理员进行补发,如需邮件发送,请下单后联系客服。
上一篇
王鹤泉集 (明)王健撰 明嘉靖三十五年(1556)孙昭洛阳刊本
下一篇
临汾县志 10卷, 卷首 1卷, 卷末 1卷 吕淙等纂 高塘等修.乾隆44年 [1779]
韵瑞广萃 五卷 王鏜, 清雍正11年[1733]
Jul 04,2023
2023-06-22 01:12
品级考 (明)刘元霖等编 旧钞本
Jul 04,2023
2023-06-22 00:47
[林氏]九牧堂三修族谱
Jul 04,2023
2023-06-22 00:45
天马山房遗稿 (明)朱制撰 明隆庆己巳(三年, 1569)清江知县张秉鐸编刊本
Jul 04,2023
2023-06-21 23:01
康基田堪舆三昧
Jul 04,2023
2023-06-22 00:39
医彀 元亨利贞集各4卷 程式 明万历43年
Jul 04,2023
2023-06-22 00:49
郧西县志 20卷 张道南纂修.乾隆42年 [1777]
Jul 04,2023
2023-06-21 22:38
怪疾奇方 嘉庆六年 古愚山房藏版
Jul 04,2023
2023-06-21 23:50
订单列表
帖子名称
订单详情
价格
¥18
总价
¥18
付款方式
Usdt
Paypal
易支付-微信
易支付-支付宝